Vaillant Eco Tec F.70 fault code

F.70 Vaillant fault code – how to set up new PCB on Eco Tec boilers
Vaillant Eco Tec series of boilers are notorious for failing PCBs. It is often enough to power the boiler down to find that it will no longer power up as components on PCB gets damaged by a simple procedure of turning the boiler on and off. New PCB is usually needed to bring boiler back to life. There is also another fault that is usually cured by new PCB and it is F.61.
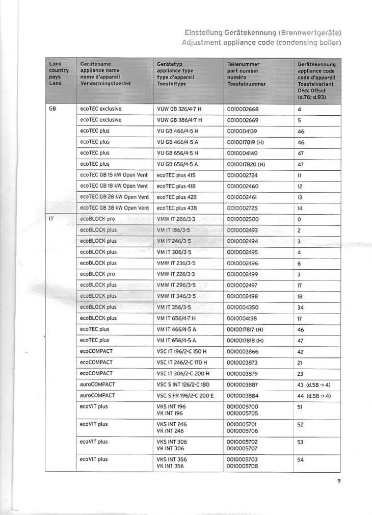
When you replace Vaillant PCB you will have to adjust DSN (Device Specific Number) parameter for the boiler. Reason for that adjustment is the fact that entire original range of EcoTec boilers share one PCB. By adjusting DSN you pair your new PCB with your boiler. The same PCB will do all combination and system boilers from original Eco Tec range.
Boilers from original EcoTec range with PCB part number: 0020132764 can be found on attached list below this post.
Because of the cost of new boards market is flooded with inexpensive reconditioned PCB boards. Unfortunately they do not always come with original Vaillant manual on how to set them up and the procedure can be tricky without a cheat sheet. Once you install new PCB your boiler will show F.70 fault code. Below is a copy of Vaillant PCB installation manual with DSN (Device Specific Number) offset number for boilers compatible with 0020132764 PCB.
Follow instructions below and use DSN for your boiler and you should be able to clear F.70 fault code. I do find that sometimes it takes more than one try to get it going.



For Valliant boiler repairs please contact me here plumber Crystal Palace